AIの活用で識字率96.71%
*NTT東日本が2018年8月〜9月に3社で行ったAI-OCRサービスにおける申込書・現金通帳(手書き文字を含む20,275文字)の
読み取り精度(正解数/全文字数)の平均です。


受付 9:00~17:00(土日祝祭日を除く)
「爆読みLOGI-OCR with AI inside」は、手書き書類や帳票の文字読取を行って、データ化する物流会社のための、AI技術*を使ったOCRサービスです。大量の書類のデータ化によって帳票処理業務にかかわる人件費・入力ミス・保管スペース等の削減ができます。また過去データの管理・検索を手軽に実施でき、業務効率も向上します。
*「AI inside 株式会社」の文字認識AIを活用しています。

*NTT東日本が2018年8月〜9月に3社で行ったAI-OCRサービスにおける申込書・現金通帳(手書き文字を含む20,275文字)の
読み取り精度(正解数/全文字数)の平均です。
AIの活用によって 以下のような文字データでも読み取りが可能。
CASE.1二行折返し住所の読取り

読取結果:東京都渋谷区渋谷3-8-12渋谷第一生命ビルディング4階
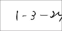
CASE.2欄外にはみだした「4」を自動補完

読取結果:1-3-24
CASE.3訂正箇所(訂正印、黒丸)の読み飛ばし

読取結果:渋谷中央

読取結果:千葉県浦安市舞浜
CASE.4スマホで撮った画像のゆがみ・傾きを自動補正
ゆがみデータの識字率においても高精度を記録*1
| 製品比較 | 正規データ(各100枚) | 歪みデータ(各30枚) | 合計 | ||
|---|---|---|---|---|---|
| AI-OCR |
|
96.5% | 96.0% | 96.4% | |
| A社 | 93.4% | 91.5% | 92.9% | ||
| B社*2 | 80.7%(97.7%) | × | 80.7%(97.7%) | ||
| OCR | C社 | 34.0% | − | 34.0% | |
| D社 | 11.9% | − | 19.3% | ||
*1:MM総研調べ。
*2:「B社」はテンプレートと帳票の位置ずれを補正する機能がなく、自然発生するずれが「読み取り」と判定されることが多い。このため、文字識字率は80.7%にとどまったが接続てきた箇所に限定すると手書き文字識字率は97.7%となった。

直観的・簡単な操作性で誰にでもあつかいやすい。
設定画面

確認画面


物流会社の業績向上に特化したコンサルティング会社(株式会社船井総研サプライチェーンコンサルティング)
がアドバイスをするので、稼働時間削減など確実に成果がでます。

書類・帳票をアップロード

AIを使ってデータ化

読取結果をファイル出力

「俺のLOGI-RPA」と連携して
自社システムへも出力
実際に使用感をご確認いただくためトライアルプランを用意しております。まずは、本プランをお試しください。
30日トライアル
|
60日トライアル | |
|---|---|---|
| プラン内容 |
6,000項目/月 |
60,000項目/月 60日間 自動帳票仕分け機能 |
| 料金 | 1ヶ月 ¥33,000 | 2ヶ月 ¥220,000 |
30日トライアル
|
|---|
|
6,000項目/月 |
| 1ヶ月 ¥33,000 |
| 60日トライアル |
|---|
|
60,000項目/月 |
| 2ヶ月 ¥220,000 |
* 価格は全て税抜表記。
* 自動帳票仕分け機能は、「複数種類の帳票を一括で読み込み、帳票の種類別に仕分けを行う機能です。
読み取り項目数に応じて、3つの料金プランを用意しております。
| Sプラン |
Mプラン
|
Lプラン | |
|---|---|---|---|
| 読取項目 | 6,000箇所 | 60,000箇所 | 200,000箇所 |
| 月額基本料金 | 33,000円 | 110,000円 | 220,000円 |
| 従量課金 ①読取り結果が空白 ②読取り項目が「チェックボックス」 「マークシート・押印」のもの |
3.1円 | 0.55円 | 0.1円 |
| 従量課金 上記①②以外のもの |
3.1円 | 1円 | 1.1円 |
| Sプラン | |
|---|---|
| 読取項目 | 6,000箇所 |
| 月額基本料金 | 33,000円 |
| 従量課金
①読取り結果が空白 ②読取り項目が「チェックボックス」 「マークシート・押印」のもの |
3.1円 |
| 従量課金 上記①②以外のもの | 3.1円 |
Mプラン
|
|
|---|---|
| 読取項目 | 60,000箇所 |
| 月額基本料金 | 110,000円 |
| 従量課金
①読取り結果が空白 ②読取り項目が「チェックボックス」 「マークシート・押印」のもの |
0.55円 |
| 従量課金 上記①②以外のもの | 1円 |
| Lプラン | |
|---|---|
| 読取項目 | 200,000箇所 |
| 月額基本料金 | 220,000円 |
| 従量課金
①読取り結果が空白 ②読取り項目が「チェックボックス」 「マークシート・押印」のもの |
0.1円 |
| 従量課金 上記①②以外のもの | 1.1円 |
* 価格は全て税抜表記。
* 最低利用期間12か月。
* 解約金
Sプラン:最低利用期間の残月数×21,000円(税抜)
Mプラン:最低利用期間の残月数×37,500円(税抜)
Lプラン:最低利用期間の残月数×140,000円(税抜)
基本プラン オプション
複数種類の帳票に対応するため、オプションの利用を推奨しております。複数種類の帳票を一括で読み込み、帳票の種類別に仕分けを行う機能です。
| 自動帳票仕分け機能 | |
|---|---|
| 読取項目 | 60,000箇所 |
| 月額基本料金 | 22,000円 |
| 従量課金「読み取り箇所が6万/月」を超える場合 | 1.1円/枚 |
* 価格は税抜表記。
* 最低利用期間12か月。
* 解約金 最低利用期間の残月数×20,000円(税抜)
| 自動帳票仕分け機能 | |
|---|---|
| 読取項目 | 60,000箇所 |
| 月額基本料金 | 22,000円 |
| 従量課金「読み取り箇所が6万/月」を超える場合 | 1.1円/枚 |
この度は、
にご興味を持っていただき、ありがとうございます! 人手不足が深刻化している物流業界にとって、デジタル化はそれを乗り切る有効な手段です。省人化や業務の効率化はもちろんのこと、その先にある会社の発展を目的に、弊社は全力でサポートいたします。
導入をご検討のお客様や、導入後のフローが気になるお客様は、ぜひ、何でもご相談ください!
弊社一人ひとりのコンサルタントが誠意を持って、お手伝いいたします!
| 会社名 | 株式会社船井総研サプライチェーンコンサルティング |
|---|---|
| 創立 | 2000年5月10日(決算期12月) |
| 資本金 | 9,800万円 |
| 事業内容 | ロジスティクス、物流コンサルティングサービス(プロジェクト型、支援型) 物流企業向けコンサルティングサービス (採用・定着化、新規事業開発、マーケティング、評価・賃金制度の構築、各種教育・研修 等) 3PLマネジメントサービス(物流業務設計・管理業務) 3PLオペレーションサービス(物流業務受託・請負業務) 販売管理費を低減する共同購買サービス(物流資材・燃料等) 物流ファイナンスサービス(M&A、デューデリジェンス 等) ロジスティクス情報システム及びマテハン設計、構築、導入、管理サービス AIロボット導入支援 |